加快构建以违约率为核心的评级质量检验体系
加快构建以违约率为核心的评级质量检验体系,不仅是维护金融稳定和防范系统性风险的内在要求,更有助于推动评级行业回归信用风险定价本源,不断提升信用评级行业的国际竞争力,推动我国信用评级行业“走出去”。
评级质量检验体系是指通过量化指标对信用评级结果的准确性和稳定性进行评估的框架,其作用在于提升评级行业的公信力与风险识别能力。当前,全球经济金融环境复杂多变、信用风险事件频发,我国加快构建以违约率为核心的评级质量检验体系,不仅是维护金融稳定和防范系统性风险的内在要求,更有助于推动评级行业回归信用风险定价本源,不断提升信用评级行业的国际竞争力,推动我国信用评级行业“走出去”,助力实现从追随美元定价权向构建人民币话语权的转变。
构建以违约率为核心的“三位一体”评级质量检验体系的必要性
以违约率为核心的“三位一体”评级质量检验体系,是指以违约率为核心检验指标,以等级迁移矩阵评估评级稳定性,以信用利差作为市场验证的补充手段,所构建的评级质量检验框架。这三者共同构成了从历史违约事实到评级动态调整再到市场实时预期的完整验证闭环,可从事后、事中与事前等环节较为全面和客观地评估评级质量。
(一)是政策与法规的现实要求
近年来,我国监管部门密集出台多项政策,明确要求信用评级机构构建以违约率为核心的评级质量验证机制。2019年,中国人民银行等四部委发布的《信用评级业管理暂行办法》首次提出信用评级机构应披露违约率和等级迁移情况,并建立违约率检验系统。此后,中国人民银行等部委发布的《关于促进债券市场信用评级行业健康发展的通知》等多个文件,进一步强调评级机构应长期构建以违约率为核心的验证机制,并定期披露质量检验结果。2025年,中共中央办公厅、国务院办公厅发布的《关于健全社会信用体系的意见》提出推动国内信用评级机构国际化发展。这些政策从制度建设、信息披露和国际接轨等角度,为构建以违约率为核心的评级质量检验体系提供了明确的法规依据和制度保障。
综上,我国已构建起以《信用评级业管理暂行办法》为基础,以规范性文件和自律规则为配套的评级质量检验制度体系,这为加快构建以违约率为核心的评级质量检验体系奠定了制度基础。
(二)顺应评级行业发展趋势
国际评级行业经过长期发展,已形成“三位一体”的质量检验体系,其已成为监管机构和投资者普遍认可的行业标准。中资评级机构若要借助“一带一路”、人民币国际化等机遇实现“走出去”,需要与国际标准接轨,构建类似的评级质量检验体系。这不仅有助于提升中资评级机构的国际认可度,更能为人民币资产的全球定价提供可信基准。为此,中资评级机构应建立跨区域、跨周期和跨币种的历史违约数据库,并引入主权风险调整因子,确保本外币评级在可比性与一致性上达到国际通行标准。
(三)发挥信用评级揭示、预警信用风险的功能和作用
目前,国内信用评级存在“高等级聚集、高维持率”的结构性失衡现象。根据万得(Wind)数据,2024年在我国债券市场上5749家债券存续主体中,信用等级为AAA至AA级的合计数量占比高达97.3%,A-级及以下的占比不足3%;与上一年相比,信用等级维持率高达97.67%,其中AAA级维持率高达99.93%。更值得关注的是,截至2025年6月末,境内累计违约债券共1281只,其中发行时信用等级为AAA的有398只,信用等级为AA+的有408只,信用等级为AA的有429只,三者合计1235只,占比高达 96%。在发行时AA级及以上高信用等级债券占据违约主体的绝大多数,这意味着存在明显的违约率倒挂现象。该现象的出现不仅与评级机构内部质量控制问题有关,也与制度设计、监管环境、市场竞争与模型建设等多方面因素有关。因此,构建以违约率为核心的评级质量检验体系,必须从机制层面入手,推动收费模式改革,强化监管落地,提升模型透明度与跨周期适应能力。
构建以违约率为核心的“三位一体”评级质量检验体系的可行性
(一)国际经验可供借鉴
国际三大评级公司穆迪、标普和惠誉之所以能够在全球评级行业具有重要影响力,既有美元霸权作为支撑等原因,也与其凭借以违约率为核心的质量检验体系密切相关,同时,还形成了自我学习、自我修正的闭环反馈机制。整体来看,其评级质量检验指标主要围绕违约率统计分析和信用等级迁移矩阵进行设定(见表1)。
在跨周期数据、双重验证、市场信号交叉检验及强制信息披露方面,穆迪、标普和惠誉均形成了可量化、可审计和可验证的评级质量检验要求。
一是具有单调递减关系:信用等级与违约率具有“等级越高,违约率越低”的单调递减关系,形成清晰的信用风险排序。
二是数据跨周期:样本跨越两轮经济周期(通常在10 年以上),年度等级迁移率应小于或等于3%。三大机构均借助蒙特卡洛模拟法进行动态校准,以兼顾经济衰退与复苏情景。
三是具有双重验证机制:回溯违约前12个月,高风险等级主体须至少下调1次;对国际评级机构定义的BBB级以上等级违约率预测值设置偏离容忍区间(如200个基点),超出该区间即触发回溯检验。
四是具有市场信号意义:利差曲线斜率与等级显著负相关,如投资级(通常为BBB-及以上等级)曲线斜率小于0.5,投机级(通常为BB+及以下等级)曲线斜率大于或等于2;通过使用向量自回归(VAR)模型等方式,确保利差对采购经理人指数(PMI)等宏观变量的反应滞后时间小于等于3个月。
五是具备信息披露机制:符合国际证券事务监察委员会组织(IOSCO)与欧洲证券和市场管理局(ESMA)对评级机构的要求,按月披露违约率,按季公布等级迁移矩阵,并同步发布评级模型回溯检测报告,实行可审计、可复制、全透明的范式。
在满足上述整体要求的前提下,穆迪、标普和惠誉的评级质量检验体系也存在一定的差异,主要体现在准确性、稳定性和市场验证等维度(见表2)。例如,穆迪侧重于历史违约数据统计,标普强调评级排序与实际违约的一致性,惠誉则更注重违约概率预测。
总体来看,通过长期实践,穆迪、标普和惠誉在违约数据库建设、等级迁移矩阵构建、跨周期数据建模、多维违约率指标公开披露和量化验证机制建设等方面,逐步积累了较为丰富的经验,为我国评级行业提供了有益参考。
(二)境内违约数据已具备统计基础
2014—2024年,我国债券市场累计违约5400亿元,涉及AAA级主体369家。从时间序列来看,其计量意义已经足够。在操作规范层面,近年来,银行间和交易所债券市场在违约及风险处置的信息披露要求上已趋于一致。其中,中国银行间市场交易商协会(NAFMII)于2022年5月推出《银行间债券市场非金融企业债务融资工具违约及风险处置指南(2022版)》,旨在提升违约处置效率。该指南提供了标准化的公告模板,要求发行人按规定披露违约起因、时间、金额、后续安排等关键要素。这在实际操作中起到了统一信息披露内容的作用。2025年,NAFMII上线债券违约数据库,该库实现了跨市场、全品种、日频更新,为投资者和评级机构提供了权威、可溯源的统计数据,也为进行分行业、分周期、分等级的违约率统计奠定了良好基础。
以违约率为核心的“三位一体”评级质量检验体系的构建方法
对于我国评级行业系统推进以违约率为核心的评级质量检验体系建设,笔者建议从以下方面着手。
(一)完善违约率统计与披露机制
建议由行业协会牵头,建立全市场、全品类且不少于10年的违约数据库,统一采用巴塞尔协议Ⅲ中“90天逾期”作为违约统计标准(展期除外),并规定所有评级机构按季报送统一格式的违约率与等级迁移矩阵。要求评级机构确保信用等级与违约率的一致性,即高信用等级的违约率须显著低于低信用等级;要求评级机构计算违约前的中位信用等级和违约前36个月信用等级均值,以提前识别并预警债券的违约滚动风险,其中重点检验AA及以上相邻信用等级的违约率级差,确保差异显著。
在信息披露方面,建议监管部门和评级机构在各自网站上公布违约率、等级迁移矩阵及模型验证结果;要求评级机构每季度发布行业风险展望,内容包括情景分析与压力测试,并逐笔披露自身调级依据,按行业、区域和信用等级进行违约画像分析。
(二)建立以违约率为驱动的评级模型校准机制
1.整体思路
为提高评级结果与违约概率的匹配度,信用评级须回归“精准映射风险”的本质,其核心思想在于通过边际违约率与累计违约率等量化工具,持续检验与校准评级结果与实际违约行为的一致性,从而确保评级真实反映信用风险。
2.具体操作
应建立以违约率为锚的模型校准流程。
一是依次计算1年边际违约率、平均边际违约率,最终落脚于长期累计违约率。其中,边际违约率反映特定时期内某一信用等级债券的违约情况;平均边际违约率是对多个时期边际违约率的加权平均;累计违约率则反映长期跨周期风险水平,是检验评级质量最为直接、有效的关键指标。
二是依据这些违约率统计数据动态校准评级模型,确保“高等级低违约”的梯度关系清晰可辨。鉴于国内债券市场违约历史相对较短,跨周期样本较为稀缺,宜先夯实短期边际违约率统计,再滚动扩样、逐年延长序列,稳健迈向长期累计违约率模型。
上述校准流程依赖于边际违约率等核心指标的计算。为便于理解,下文以某评级机构评定的AA级工业类发行人为例进行演算示例。
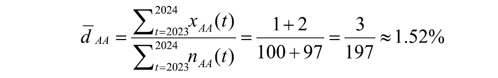
假设2023年初AA级样本为100家,在2023年有1家违约,在2024年初剩余99家中有2家被下调至A级,则2024年初AA级样本数量调整为97家。
2023年AA级边际违约率计算公式为:
2024年AA级边际违约率计算公式为:
两年平均边际违约率计算公式为:
两年累计违约率计算公式为:
(三)优化信用等级迁移矩阵的跨周期机制
1.整体思路
在确立了以违约率为核心的验证基准后,还需要建立一个能够动态反映风险、避免评级失真的风险预警与动态校正机制。优化信用等级迁移矩阵的跨周期性正是构建该机制的关键技术路径。其核心在于,使评级调整不仅能够反映企业个体的信用变化,更能够体现宏观经济周期波动的影响,从而提升评级的前瞻性和稳定性。
2.具体操作
一是进行跨周期建模。在等级迁移矩阵中嵌入国内生产总值(GDP)、社会融资规模等宏观经济指标,在不同经济周期下进行压力测试,为实施逆周期调节提供依据。在此基础上,可建立基于行业特性的差异化阈值调节机制。如对于房地产等强周期行业,可设定较宽的阈值浮动区间,以应对其固有的高波动性特征。在经济下行期可适度放宽容忍度,避免债务展期引发评级断崖式下调;在经济上行期则需显著收紧容忍度,防范评级偏高。而对于新能源/半导体等高成长性与不确定性行业,其核心风险在于上行期的估值泡沫,因此需要设定较为严格的阈值,旨在抑制非理性的评级上调。在经济上行期应格外谨慎并收紧标准,以防范成长泡沫;在经济下行期可有限度地放宽标准,以避免科创企业因评级偏低而融资困难。
二是开展前瞻性校验。当前,必须重视同一评级机构内部评级标准随时间推移而出现纵向松弛的问题。监管机构对于信用等级向上调整的行为应施以较为严格的审查,以有效遏制评级结果的系统性上迁。具体可采用如下操作:对全周期数据进行滚动回溯检测,持续监测各家评级机构自身上调/下调家数比。若该比率连续两个季度严重偏离1∶1的均衡水平,则应重估评级模型假设。
三是建立“数据→模型→行动”即时闭环动态监控机制。设定系统自动识别在12个月内信用等级迁移大于3个区分(Notching)的主体,并运用孤立森林(Isolation Forest)等异常检测算法,将相关主体的信用风险评分标记为高危,从而触发人工复评。复评采用现金流压力测试、舆情监测和流动性校验等手段。若复评结果认为其信用状况已发生显著变化且足以导致等级调整,即应强制调级,并在次月进行公开披露;若复评后确认当前等级合理,则保留原评级,但将该主体纳入观察名单进行持续监测。
(四)降低信用利差的失真,提高评级验证的有效性
1.整体思路
在构建评级质量检验体系时,违约率是事后验证,其有效性依赖于长期且充足的违约数据。当违约样本稀缺时,可用经处理的债券利差反向验证信用评级的有效性。
从理论上看,信用利差包含了市场对债券信用风险的综合判断,可以承担对评级结果进行独立、实时市场验证的关键职能。然而,国内债券市场受流动性溢价和政策因素影响较大,市场信用等级利差形态扁平、区域分化减弱,整体区分度不足。笔者根据中债估值中心收益率曲线数据等关键指标进行测算,发现2024年债券市场中金融债、公司债的流动性溢价率高达40%~60%1。因此,为降低信用利差的失真程度,需要构建调整框架。
2.具体操作
一是以Amihud(阿米胡德)非流动性比率剔除流动性噪声,提取纯信用溢价。例如,假设债券原始信用利差为150BP,通过回归模型估算流动性溢价为60BP,则纯信用溢价为90BP。
二是以违约概率(PD)为核心、违约损失率(LGD)为补充,构建PD×LGD敏感性框架。例如,某债券1年期PD为0.4%,LGD为60%,则理论风险溢价为24BP。将提纯后的市场信用溢价(90BP)与理论值比较,若市场溢价远高于理论值,可能暗示模型中存在未捕捉到的潜在风险,或市场对区域性、行业性的风险过度担忧,这为风险研判提供了重要信号。
三是锁定1年期样本并滚动更新,利用利差异常波动监测跨周期风险预测能力。例如,季度滚动更新数据,重复第一步和第二步的“提纯”与比较分析。若发现纯信用溢价出现系统性跃升,而基本面未恶化,则此利差异常波动即可视为领先的预警信号,提示需重新检视并校准相关发行人或板块的评级模型。
通过上述方法,可将受噪声干扰的市场利差转化为可量化、可追溯的纯信用风险指标。由此,在违约样本不足时,可通过利差数据进行评级模型的验证与校准。
小结
加快构建以违约率为核心的“三位一体”评级质量检验体系,是提升我国信用评级行业公信力和国际竞争力的关键举措。在实践中,通过统一违约率统计与披露、建立违约率驱动的评级模型校准机制、优化信用等级迁移矩阵的跨周期机制及降低信用利差失真,可系统推进该体系建设。同时,应继续完善违约数据库,加强跨部门协作,推动评级行业高质量发展,为防范金融风险和促进实体经济健康发展提供有力支撑。(本文为“控风险 御波动 谋长局”主题征文优秀文章)
(作者:北京大学政府管理学院博士后 禄丹,安融信用评级有限公司研究发展部研究员 王加春 彭毅,本文原载《债券》2025年11月刊)
编辑:王菁
声明:新华财经(中国金融信息网)为新华社承建的国家金融信息平台。任何情况下,本平台所发布的信息均不构成投资建议。如有问题,请联系客服:400-6123115










